Magnetic Field and Heat Generation Effects on the Squeezing Williamson Hybrid Nanofluid Flow between Two Parallel Plates
Keywords:
Williamson hybrid nanofluid, squeezing flow, parallel patesAbstract
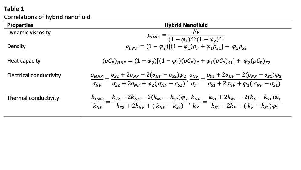
The current study intends to discuss on the effects of heat and magnetic fields on the squeezing of Williamson fluid between two parallel plates that compromises the magnetic hydrodynamic, thermal reaction, suction/injection of the hybrid nanofluid flow. The study focuses on non-Newtonian Williamson fluid comprising of ethylene glycol with two types of nano particles, copper and aluminium oxide . Model involving two-dimensional, incompressible parallel plates are considered in this study. Dimensionless ODE transmitted from modelled expressions are utilized from several established transformations, then solved numerically using bvp4c algorithm in MATLAB software. Validation of the results is then being compared with the previously published research data which brings the data into an agreement. The impact of various physical parameters is analysed through plots and tables. The numerical results reveal that intensifying the squeezing parameter accelerates fluid compression, thereby elevating skin-friction while simultaneously augmenting the Nusselt number owing to steeper temperature gradients near the walls. A stronger transverse magnetic field, on the other hand, induces a Lorentz drag that effects the axial velocity, thickens the hydrodynamic boundary layer, and diminishes convective heat transfer. Suction at the plates is shown to stabilise the boundary layer and enhance cooling efficiency, whereas injection produces the opposite trend. Increasing the Williamson parameter that attenuates viscoelastic resistance, lowers shear stress, and modestly raises the Nusselt number. The hybrid nanoparticle pair of Cu and markedly boosts thermal conductivity relative to mono-nanofluids, offsetting the adverse thermal effects of magnetic damping and internal heat generation.
